Photochemie und Photokatalyse

Assoziierte Arbeitsgruppe Prof. Malte Brasholz (Universität Rostock)

Überblick

Die Methoden der Photochemie ermöglichen die Synthese einiger interessanter Produktstrukturen, welche mit Hilfe konventioneller thermischer Reaktionsführung nicht zugänglich sind. Die moderne Photokatalyse macht die klassischen Elementarschritte photochemischer Umwandlungen in katalytischen Verfahren nutzbar. Dazu zählen Photoelektronentransfer (PET)-Reaktionen, Atom- und Gruppentransferreaktionen sowie durch Energietransfer induzierte Prozesse. Desweiteren können reaktive Sauerstoffspezies zur grünen Oxidation organischer Substrate photokatalytisch generiert werden. Unsere Arbeitsgruppe fokussiert auf die Entwicklung neuer Synthesemethoden im Bereich der Photochemie und Photokatalyse, mit verschiedenen Schwerpunktsetzungen.

 

 

 

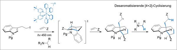
Die Photoredoxkatalyse erlaubt die Generierung von C- und N-zentrierten Radikalen unter milden Reaktionsbedingungen und ausgehend von leicht verfügbaren Radikalvorläufern. Katalytische Übergangsmetallspezies wie Ruthenium(II)- und Iridium(III)-Komplexe, wie auch eine Reihe von organischen Photokatalysatoren, weisen im angeregten Zustand günstige Redoxpotentiale auf, um eine breite Palette organischer Reaktionspartner in Ein-Elektronen-Oxidationen oder –Reduktionen zu aktivieren. Ein besonderes Interesse besteht in reduktiven Radikaladditionen und Radikalkaskaden, welche die Dearomatisierung aromatischer Substrate erlauben.

 

Radikalische Mehrkomponenten-Reaktionen können ebenfalls durch Photoelektronentransfer eingeleitet werden. Dabei werden aus simplen Ausgangsstoffen in effizienter Weise höherwertige polyfunktionalisierte Reaktionsprodukte erhalten.

 

Selektive katalytische Photooxygenierungen organischer Substrate führen zu synthetisch hochwertigen Primärprodukten, die sich als Bausteine in der Naturstoffsynthese eignen, oder nützliche biologische Eigenschaften aufweisen. Die Photooxygenierung N-heterocyclischer Verbindungen steht hierbei im Vordergrund. Ebenso werden Transformationen von biogenen und aus nachwachsenden Rohstoffen gewonnenen Verbindungen untersucht.

Weitere Informationen finden Sie auf unserer Uni-Hompage.

Literatur:

1. Tandem Organocatalysis and Photocatalysis: An Anthraquinone-Catalyzed Indole-C3-Alkylation/Photooxidation/1,2-Shift Sequence, Stephanie Lerch, Lisa-Natascha Unkel, Malte Brasholz, Angew. Chem. Int. Ed.  2014, 53, 6558-6562.

2. A Photoredox-Induced Stereoselective Dearomative Radical (4+2)-Cyclization/1,4-Addition Cascade for the Synthesis of Highly Functionalized Hexahydro-1H-carbazoles, Dirk Alpers, Malte Gallhof, Julian Witt, Frank Hoffmann, Malte Brasholz, Angew. Chem. Int. Ed. 2017, 56, 1402-1406.

3. Visible light‐mediated aerobic tandem dehydrogenative Povarov/aromatization reaction: synthesis of isocryptolepines, Eva Schendera, Lisa-Natascha Unkel, Phung Phan Huyen Quyen, Gwen Salkewitz, Frank Hoffmann, Alexander Villinger, Malte Brasholz, Chem. Eur. J. 2020, 26, 269-274.

4. Visible light cascade photooxygenation of tetrahydrocarbazoles and cyclohepta[b]indoles: access to C,N‐diacyliminium ions, Mario Frahm, Thorsten von Drathen, Lisa Marie Gronbach, Alice Voss, Felix Lorenz, Jonas Bresien, Alexander Villinger, Frank Hoffmann, Malte Brasholz, Angew. Chem. Int. Ed. 2020, 59, 12450-12454.

5. Photoredox-induced deaminative radical-cationic three-component couplings with N-alkylpyridinium salts and alkenes, Paul Seefeldt, Rajesh Dasi, Alexander Villinger, Malte Brasholz, ChemPhotoChem 2021, 5, 979-983.